Calculs de simulation des pertes d’énergie des photons dans l’eau liquide avec le code Monte Carlo GEANT4
- Post by: SOAPHYS-KZ
- 5 janvier 2025
- Comments off


http://dx.doi.org/10.46411/jpsoaphys.2024.C24A.011
Section de la parution: Informations de publication
J. P. Soaphys, Vol 4, N°2 (2024) C24A11
Pages : C24A1-1 à C24A11-8
Informations sur les auteurs
Christian
Issoufou Arzika Alio*, Almoustapha Aboubacar
Laboratoire Climat-Environnement et Matériaux (LCEMR), Département de Physique, Université Abdou Moumouni, Niamey, Niger
Corresponding author e-mail : aliissou@yahoo.fr
RESUME
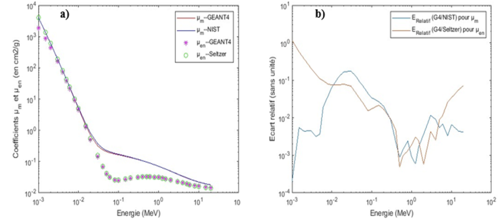
Dans le cadre du traitement des patients par des rayonnements ionisants, les paramètres thérapeutiques de la radiation sont modélisés de façon approchée avec une planification par ordinateur. Or, le degré de précision du calcul de simulation diffère d’un logiciel à l’autre selon les protocoles utilisés. Il est important de s’assurer que la dose calculée par le logiciel se rapproche de la dose nécessaire à administrer afin de minimiser les effets néfastes sur les cellules saines. L’eau étant considérée comme constituant majoritaire de la matière biologique, nous présentons dans le présent article des calculs de simulation des pertes d’énergie des photons dans l’eau liquide utilisant le code Monte Carlo GEANT4. Une étude comparative de nos résultats obtenus avec d’autres résultats notamment ceux tirés de la base des données de la référence standard (NIST ) a été faite pour les photons d’énergies de 0,001 à 20 MeV où il en est ressorti de très bons accords avec des coefficients de corrélation de 0,9902 et 0,9100 respectivement pour le libre parcours moyen et le coefficient d’atténuation massique. Enfin, un calcul de l’énergie déposée par ces photons dans l’eau a été effectué. Les résultats issus de ce calcul permettant d’estimer la dose déposée par lesdits photons sont importants à considérer en vue de minimiser le risque de dommage sur les cellules saines par la radiation lors des applications en radiothérapie et pour les besoins des diagnostics où la plage d’énergie utilisée est comprise entre 0.001 et 20 MeV.
Mots-Clés : GEANT4, Libre parcours moyen, Rayonnement ionisant, Coefficient d’atténuation massique
ABSTRACT
In the patients treating context with ionizing radiation, the radiation therapeutic parameters are modeled in an approximate manner with computer planning. However, the simulation calculation degree of precision differs from one software to another depending on the protocols used. It is important to ensure that the dose calculated by the software approximates the dose needed to be administered in order to minimize harmful effects on healthy cells. Water being considered as the biological matter majority constituent, we present in this article simulation calculations of the photon energy losses in liquid water using the Monte Carlo code GEANT4. A comparative study of our results obtained with other results in particular those taken from the standard reference database (NIST) was carried out for photons with energies from 0.001 to 20 MeV where very good agreements emerged with 0.9902 and 0.9100 correlation coefficients for the mean free path and the massive attenuation coefficient respectively. Finally, the energy deposited by these photons in the water calculation was carried out. The results resulting from this calculation making it possible to estimate the dose deposited by said photons are important to consider in order to minimize the risk of damage to healthy cells by radiation during radiotherapy applications and for the diagnostics purposes where the energy range used is between 0.001 and 20 MeV.
Keywords : GEANT4, Mean free path, Ionizing radiation, Mass attenuation coefficient
REFERENCES
Ripan Biswas, Hossain Sahadath, Abdus Sattar Mollah, Md. Fazlul Huq,Calculation of gamma-ray attenuation parameters for locally developed shielding material: Polyboron,Journal of Radiation Research and Applied Sciences,Vol9,Is1, 2016, https://doi.org/10.1016/j.jrras.2015.08.005.
J., Daures,. J. Gouriou,. JM. Bordy,. 2009. Calcul des coefficients de conversion Hp(3)lkair au moyen du code de Monte-Carlo penelope et comparaison avec les resultats de calculs MCN. CEA, LIST, Laboratoire National Henri Becquerel (LNE-LNHB), F-91191 Gif-sur-Yvette, France .
Radiological Protection in Medicine. ISBN 978-2-11-129134-8, 2008.
- Paquet IRSN, CIPR.2009. Le concept de dose en radioprotection Utilisation et limites. BOLUS, N.E.2001. « Basic review of radiation biology and terminology», Journal of nuclearmedicine technology, vol.29,no 2,p.67–73.
K.H. Mahdi,. Z.S. Ahmed,. A.F.Mkhaiber, 2012. Calculation and Study of Gamma ray Attenuation Coefficients for Different Composites; Ibn AL-Haitham Journal For Pure and Applied Science
GEANT4 User’s Guide for Toolkit Developers Release 10.5., 2019.
Isabelle Fonteille. Etude et conception d’un détecteur 2D transparent permettant le suivi en temps réel de l’administration des traitements rcmi. Médecine humaine et pathologie. Université Grenoble Alpes, 2016. Français. ⟨NNT : 2016GREAS039⟩. ⟨tel-01691729⟩
GEANT4 Installation Guide Documentation Release 10.5., 2019.
GEANT4 Physics Reference Manual Release 10.5., 2019.
Manjunathaguru, V., Umesh, T.K. Simple parametrization of photon mass energy absorption coefficients of H-, C-, N- and O-based samples of biological interest in the energy range 200–1500 keV. Pramana – J Phys 72, 375–387 (2009). https://doi.org/10.1007/s12043-009-0033-8
YILMAZ, DEMET; ŞAHİN, YUSUF; and DEMİR, LÜTFÜ (2015) « Studies on mass attenuation coefficient, mass energy absorption coefficient, and kerma for Fe alloys at photon energies of 17.44 to 51.70 keV, »Turkish Journal of Physics: Vol. 39: No. 1, Article 11. https://doi.org/10.3906/fiz-1408-4 https://journals.tubitak.gov.tr/physics/vol39/iss1/11
Hubbell, J. and Seltzer, S. (1995), Tables of x-ray mass attenuation coefficients and mass energy-absorption coefficients 1 keV to 20 MeV for elements Z = 1 to 92 and 48 additional substances of dosimetry interest:, , National Institute of Standards and Technology, Gaithersburg, MD, https://doi.org/10.6028/NIST.IR.5632
